No products in the cart.
Read More
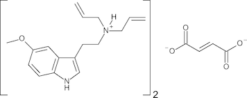
Buy 4-MeO-MiPT Fumarate Online: Premium Research Chemical for Sale
Looking for 4-MeO-MiPT fumarate for your research needs? Medeus Research offers premium-grade research chemicals that meet the highest standards of purity and consistency. Explore the world of this unique compound and why it is a top choice for professionals in pharmacological and neurochemical research.
What Is 4-MeO-MiPT Fumarate?
4-MeO-MiPT fumarate, also known as 4-methoxy-N-methyl-N-isopropyltryptamine fumarate, is a synthetic tryptamine derivative. It is valued for its potential to provide insights into serotonin receptor interactions and related neural processes. Its fumarate salt form offers superior stability, making it ideal for long-term research use.
4-MeO-MiPT for Sale Online
When it comes to buying 4-MeO-MiPT fumarate, authenticity is key. At Medeus Research, we ensure all our products meet rigorous testing standards, offering researchers reliable results every time.
Where to Buy 4-MeO-MiPT Fumarate
Searching for where to buy 4-MeO-MiPT fumarate? Medeus Research is your trusted source. With global shipping and secure transactions, purchasing research-grade chemicals has never been easier.
Why Choose Medeus Research?
- Purity Guaranteed: All products are lab-tested for quality assurance.
- Secure Transactions: Your privacy and security are our top priorities.
- Fast Shipping: Get your order delivered quickly, no matter where you are.
How to Use 4-MeO-MiPT Fumarate
This compound is intended for laboratory use only. Researchers often explore its interactions with serotonin receptors to understand its potential pharmacological properties. Always follow safe handling guidelines and wear appropriate protective equipment.
Is 4-MeO-MiPT Fumarate Legal?
The legal status of 4-MeO-MiPT fumarate varies by region. While it is unscheduled in many countries, researchers should verify its legality in their jurisdiction before purchase.
Why Is 4-MeO-MiPT Popular for Research?
The unique chemical properties of 4-MeO-MiPT fumarate make it a valuable tool for studies involving neurotransmitter systems. Its structural similarity to other tryptamines allows researchers to explore potential therapeutic applications.
FAQs
Q: Is 4-MeO-MiPT fumarate safe for research?
A: Yes, when handled responsibly in a laboratory setting, it is considered safe for research purposes.
Q: Can I order 4-MeO-MiPT fumarate in the USA or Canada?
A: Yes, Medeus Research ships globally. Be sure to confirm its legal status in your area before ordering.
Q: How should I store 4-MeO-MiPT fumarate?
A: Store it in a cool, dry place away from direct sunlight to maintain its stability and effectiveness.
Conclusion
For researchers seeking 4-MeO-MiPT fumarate for sale, Medeus Research is your go-to vendor. With high-quality products, reliable shipping, and excellent customer support, we are committed to helping you achieve accurate and meaningful results.
Ready to buy 4-MeO-MiPT fumarate? Visit Medeus Research to place your order today. Explore more research solutions through our partners:
Empower your research with the best resources available. Order now!
Chemical content
Additional information
| Quantity | 0.25 Grams, 0.50 Grams, 1 Grams, 5 Grams |
|---|







