No products in the cart.
Read More
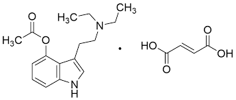
4-AcO-DET Fumarate: High-Quality Research Chemical for Scientific Exploration
4-AcO-DET fumarate is a synthetic tryptamine derivative and a novel research chemical widely studied for its structural and functional similarities to psilocin, a naturally occurring psychoactive compound found in certain mushroom species. This compound has become a focal point for researchers investigating the structure-activity relationships and psychoactive properties of tryptamines.
Key Features of 4-AcO-DET Fumarate
1. Psychoactive Effects
- Known for its psychoactive properties.
- Users often report altered perception, visual distortions, and mood changes.
- Effects vary based on dosage, environment, and individual factors.
2. Research Applications
- Primarily used for scientific research in neuroscience, psychotherapy, and consciousness studies.
- A valuable tool for exploring pharmacological properties and potential therapeutic applications.
3. Dosage and Administration
- Typically administered orally, though other routes can be studied.
- Dosage varies based on research requirements and individual tolerances.
- Exercise caution and follow all safety protocols during use.
4. Safety Precautions
- Use proper laboratory equipment and protective gear.
- Work in controlled environments under trained supervision.
- Adhere to recommended safety and handling procedures.
5. Purity and Quality
- Synthesized with a minimum purity level of 98%.
- Undergoes rigorous quality control, including gas chromatography and mass spectrometry analysis, ensuring consistent and reliable results.
6. Secure Packaging
- Packaged in airtight, moisture-resistant containers to preserve integrity and prevent degradation during shipping.
7. Discreet Shipping
- Orders are shipped discreetly with no external markings, ensuring privacy and confidentiality for your research needs.
8. Ethical and Legal Compliance
- Medeus Research Chem complies with all applicable laws and regulations regarding research chemicals.
- Researchers are responsible for ensuring compliance with local laws concerning 4-AcO-DET Fumarate.
FAQs About 4-AcO-DET Fumarate
What is 4-AcO-DET Fumarate used for?
4-AcO-DET Fumarate is used primarily for research purposes, particularly in studies related to neuroscience, psychotherapy, and consciousness.
What are the psychoactive effects of 4-AcO-DET?
The compound may produce altered perceptions, visual distortions, and mood changes. These effects depend on dosage and individual responses.
How should 4-AcO-DET Fumarate be stored?
Store the compound in a cool, dry place in its original, airtight packaging to maintain quality and potency.
What safety precautions should be taken when handling 4-AcO-DET?
Use protective gear, work in a controlled lab setting, and follow proper handling and disposal protocols.
Conclusion
4-AcO-DET Fumarate from Medeus Research Chem is an exceptional choice for researchers exploring the complexities of tryptamine derivatives. With unmatched purity, rigorous quality control, and secure packaging, our product ensures reliable results and safety throughout your studies.
Order now to unlock new insights in your research. For inquiries or to place an order, visit:
For further assistance, contact our dedicated customer support team today!
Chemical content
Additional information
| Quantity | 0.25 Grams, 0.50 Grams, 1 Grams, 5 Grams |
|---|







